Налоги России
216.73.216.59, Суббота, 14.03.2026, 22:37
Приветствую Вас Гость | RSS
 
Главная БлогиРегистрацияВход
TaxRu
С днем победы!
Меню сайта
Статистика
Онлайн всего: 23
Гостей: 23
Пользователей: 0

Сегодня были:




РЕКЛАМА

Реклама
Категории раздела
О НАЛОГАХ [11362]
Все о налогах.
Письма [6417]
Нормативные письма в основном по налогам, бухгалтерскому учету и пр.
О НАЛОГАХ "ТАМ" [2420]
Новости о налогах, финансах за рубежом
БУХГАЛТЕРСКИЙ УЧЕТ [683]
Бухучет
ПОЛИТИКА [1278]
Все о политике
ЭКОНОМИКА [3228]
И мировая, и наша. Проблемы и их решения.
ФИНАНСЫ [1132]
БЕЗОПАСНОСТЬ [1299]
Вопросы безопасности частной жизни, организации, регионов, страны.
КРИМИНАЛ [109]
РЕЛИГИЯ [5200]
Все о религиозных течениях, плюсы, минусы, критика.
Афоризмы, притчи [745]
Афоризмы, притчи, рассказы
ПРИРОДА [298]
Интересные статьи про явления природы
ОБ ЭТОМ [63]
Отношения между мужчиной женщиной
ПОЭЗИЯ [61]
Блог специально заведен для моей сестры Анжелы. Но в нем могут размещать материалы все для кого поэзия это состояние души.
БОНУСЫ [30]
Здесь будут размещаться Бонусы рублевые, долларовые и др. Перемещен раздел для более легкого размещения бонусов и возможности писать посетителям отзывы
АФЕРЫ [65]
В этом блоге будут размещаться материалы о сайтах аферистах, желающим размещать материал представить доки, ссылки, краткое объяснение.
Видео [76]
Разное видео разбитое по разделам
ИНФОРПРЕСС [948]
Для размещения статей экономической тематики
Главная » 2017 » Ноябрь » 09 » О ВНЕСЕНИИ ИЗМЕНЕНИЙ В ПРАВИЛА ДЕНЕЖНОЙ ОЦЕНКИ ПРИНЯТЫХ ПФР ОБЯЗАТЕЛЬСТВ В ОТНОШЕНИИ ЗАСТРАХОВАННЫХ ЛИЦ ПО УСТАНОВЛЕННЫМ ВЫПЛАТАМ


18:48
О ВНЕСЕНИИ ИЗМЕНЕНИЙ В ПРАВИЛА ДЕНЕЖНОЙ ОЦЕНКИ ПРИНЯТЫХ ПФР ОБЯЗАТЕЛЬСТВ В ОТНОШЕНИИ ЗАСТРАХОВАННЫХ ЛИЦ ПО УСТАНОВЛЕННЫМ ВЫПЛАТАМ

ПРАВИТЕЛЬСТВО РОССИЙСКОЙ ФЕДЕРАЦИИ
 
ПОСТАНОВЛЕНИЕ
от 4 ноября 2017 г. N 1324
 
О ВНЕСЕНИИ ИЗМЕНЕНИЙ
В ПРАВИЛА ДЕНЕЖНОЙ ОЦЕНКИ ПРИНЯТЫХ ПЕНСИОННЫМ ФОНДОМ
РОССИЙСКОЙ ФЕДЕРАЦИИ ОБЯЗАТЕЛЬСТВ В ОТНОШЕНИИ
ЗАСТРАХОВАННЫХ ЛИЦ ПО ВЫПЛАТЕ УСТАНОВЛЕННЫХ
ИМ НАКОПИТЕЛЬНОЙ ПЕНСИИ И (ИЛИ) СРОЧНОЙ
ПЕНСИОННОЙ ВЫПЛАТЫ
 
Правительство Российской Федерации постановляет:
Утвердить прилагаемые изменения, которые вносятся в Правила денежной оценки принятых Пенсионным фондом Российской Федерации обязательств в отношении застрахованных лиц по выплате установленных им накопительной пенсии и (или) срочной пенсионной выплаты, утвержденные постановлением Правительства Российской Федерации от 18 октября 2012 г. N 1059 "Об утверждении Правил денежной оценки принятых Пенсионным фондом Российской Федерации обязательств в отношении застрахованных лиц по выплате установленных им накопительной пенсии и (или) срочной пенсионной выплаты" (Собрание законодательства Российской Федерации, 2012, N 43, ст. 5891; 2015, N 33, ст. 4824).
 
Председатель Правительства
Российской Федерации
Д.МЕДВЕДЕВ
 
 
 
 
 
Утверждены
постановлением Правительства
Российской Федерации
от 4 ноября 2017 г. N 1324
 
ИЗМЕНЕНИЯ,
КОТОРЫЕ ВНОСЯТСЯ В ПРАВИЛА ДЕНЕЖНОЙ ОЦЕНКИ ПРИНЯТЫХ
ПЕНСИОННЫМ ФОНДОМ РОССИЙСКОЙ ФЕДЕРАЦИИ ОБЯЗАТЕЛЬСТВ
В ОТНОШЕНИИ ЗАСТРАХОВАННЫХ ЛИЦ ПО ВЫПЛАТЕ УСТАНОВЛЕННЫХ
ИМ НАКОПИТЕЛЬНОЙ ПЕНСИИ И (ИЛИ) СРОЧНОЙ
ПЕНСИОННОЙ ВЫПЛАТЫ
 
1. Пункты 5 и 6 изложить в следующей редакции:
"5. Денежная оценка обязательств по выплате накопительной пенсии определяется по формуле:
 
Рисунок 2 ,
 
где:
к - количество застрахованных лиц, которым по состоянию на 31 декабря отчетного финансового года установлена и выплачивается накопительная пенсия и ожидаемый период выплаты накопительной пенсии (далее - ожидаемый период выплаты) которым превышает или равен периоду осуществленных выплат со дня ее назначения по 31 декабря отчетного финансового года включительно (далее - период осуществленных выплат);
НЧ - размер накопительной пенсии, установленной застрахованному лицу, по состоянию на 31 декабря отчетного финансового года;
Т - количество месяцев ожидаемого периода выплаты за вычетом количества месяцев периода осуществленных выплат. Месяц, в котором застрахованному лицу назначена накопительная пенсия, принимается за полный месяц;
Одоп - размер дополнительных обязательств Фонда, включая обязательства вследствие прекращения (приостановления) выплат, которые могут быть восстановлены (возобновлены) по основаниям, предусмотренным Федеральным законом "О накопительной пенсии" в отношении застрахованных лиц, фактический период выплаты накопительной пенсии которым меньше ожидаемого периода, а также обязательства перед застрахованными лицами, период осуществленных выплат которым превышает ожидаемый период выплаты.
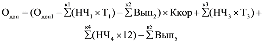
6. Сумма дополнительных обязательств Фонда перед застрахованными лицами определяется по состоянию на 31 декабря по формуле:
 
Рисунок 3 ,
 
где:
Одоп1 - сумма дополнительных обязательств Фонда, рассчитанная на 31 декабря года, предшествующего отчетному финансовому году;
к1 - количество застрахованных лиц, выплата накопительной пенсии которым ранее (в периодах, предшествующих отчетному финансовому году), до истечения ожидаемого периода выплаты, была прекращена (приостановлена) и восстановлена (возобновлена) в отчетном финансовом году;
НЧ1 - размер накопительной пенсии, установленной застрахованному лицу, на дату ее восстановления (возобновления);
Т1 - количество месяцев ожидаемого периода выплаты за вычетом количества месяцев периода осуществленных выплат. Месяц, в котором застрахованному лицу восстановлена (возобновлена) накопительная пенсия, принимается за полный месяц;
к2 - количество застрахованных лиц, которым ранее (в периодах, предшествующих отчетному финансовому году) выплачивалась накопительная пенсия, период осуществленных выплат которым ранее (в периодах, предшествующих отчетному финансовому году) превысил ожидаемый период выплаты и которым в отчетном финансовом году выплата накопительной пенсии была прекращена в связи со смертью, наступившей до 31 декабря отчетного финансового года;
Вып2 - сумма фактически выплаченной застрахованному лицу в отчетном финансовом году накопительной пенсии;
Ккор - корректирующий коэффициент, применяемый Фондом при корректировке размера накопительной пенсии по результатам инвестирования средств выплатного резерва, примененный в отчетном финансовом году (при отсутствии в отчетном финансовом году корректировки корректирующий коэффициент принимается за 1);
к3 - количество застрахованных лиц, выплата накопительной пенсии которым прекращена (приостановлена) в отчетном финансовом году до истечения ожидаемого периода выплаты;
НЧ3 - размер накопительной пенсии, установленной застрахованному лицу, на дату прекращения (приостановления) ее выплаты;
Т3 - количество месяцев ожидаемого периода выплаты за вычетом количества месяцев периода осуществленных выплат. Месяц, в котором застрахованному лицу назначена накопительная пенсия, принимается за полный месяц;
к4 - количество застрахованных лиц, которым по состоянию на 31 декабря отчетного финансового года установлена и выплачивается накопительная пенсия и период осуществленных выплат которым в отчетном финансовом году превысил ожидаемый период выплаты;
НЧ4 - размер накопительной пенсии, установленной застрахованному лицу, по состоянию на 31 декабря отчетного финансового года;
к5 - количество застрахованных лиц, которым в отчетном финансовом году осуществлялась выплата накопительной пенсии и период осуществленных выплат которым превышает ожидаемый период выплаты по состоянию на 31 декабря отчетного финансового года;
Вып5 - сумма фактически выплаченной застрахованному лицу в отчетном финансовом году накопительной пенсии.".
2. Абзац седьмой пункта 7 изложить в следующей редакции:
"Пр - объем обязательств Фонда по выплате средств пенсионных накоплений (учтенных в составе средств пенсионных накоплений застрахованных лиц, которым установлена срочная пенсионная выплата) правопреемникам умерших застрахованных лиц в соответствии со статьей 5 Федерального закона "О порядке финансирования выплат за счет средств пенсионных накоплений", не исполненных по состоянию на 31 декабря отчетного финансового года.".
Просмотров: 771 | Добавил: AlIvanof | Теги: ПОСТАНОВЛЕНИЕ от 4 ноября 2017 г. N
Всего комментариев: 0
Добавлять комментарии могут только зарегистрированные пользователи.
[ Регистрация | Вход ]
Подписка
Скажи "Спасибо"
Поиск по сайту
QR-код сайта
Безопасность
Налоги России © 2009 - 2026
Хостинг от uCoz
Индекс цитирования Яндекс.Метрика Рейтинг@Mail.ru